DNA/RNA受託合成 技術情報 ~修飾品技術情報一覧~
機能について
各修飾品の主な機能はこちらをご参照ください。
合成可否について
各修飾品の合成可否についてはこちらをご参照ください。
分子量について
依頼合成報告書に記載しております分子量は一部を除いて修飾物質の分子量の情報を考慮しておりません。
修飾品の実際の分子量は依頼合成報告書記載の分子量に下記の追加分子量を加えてください。
鎖内修飾については「N」(分子量:308.95)として取り扱って分子量計算をしております。
計算が考慮されている修飾物質
dI(Inosine) / dU(deoxy Uridine) / 5-Methyl_dC /S化(Phosphorthioate)/ RNA / 2’-O-Methyl RNA※ただし、複数修飾の組み合わせがある場合や、RNA種別の指定がある場合など、分子量が考慮されないケースがございます。
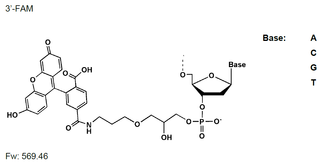
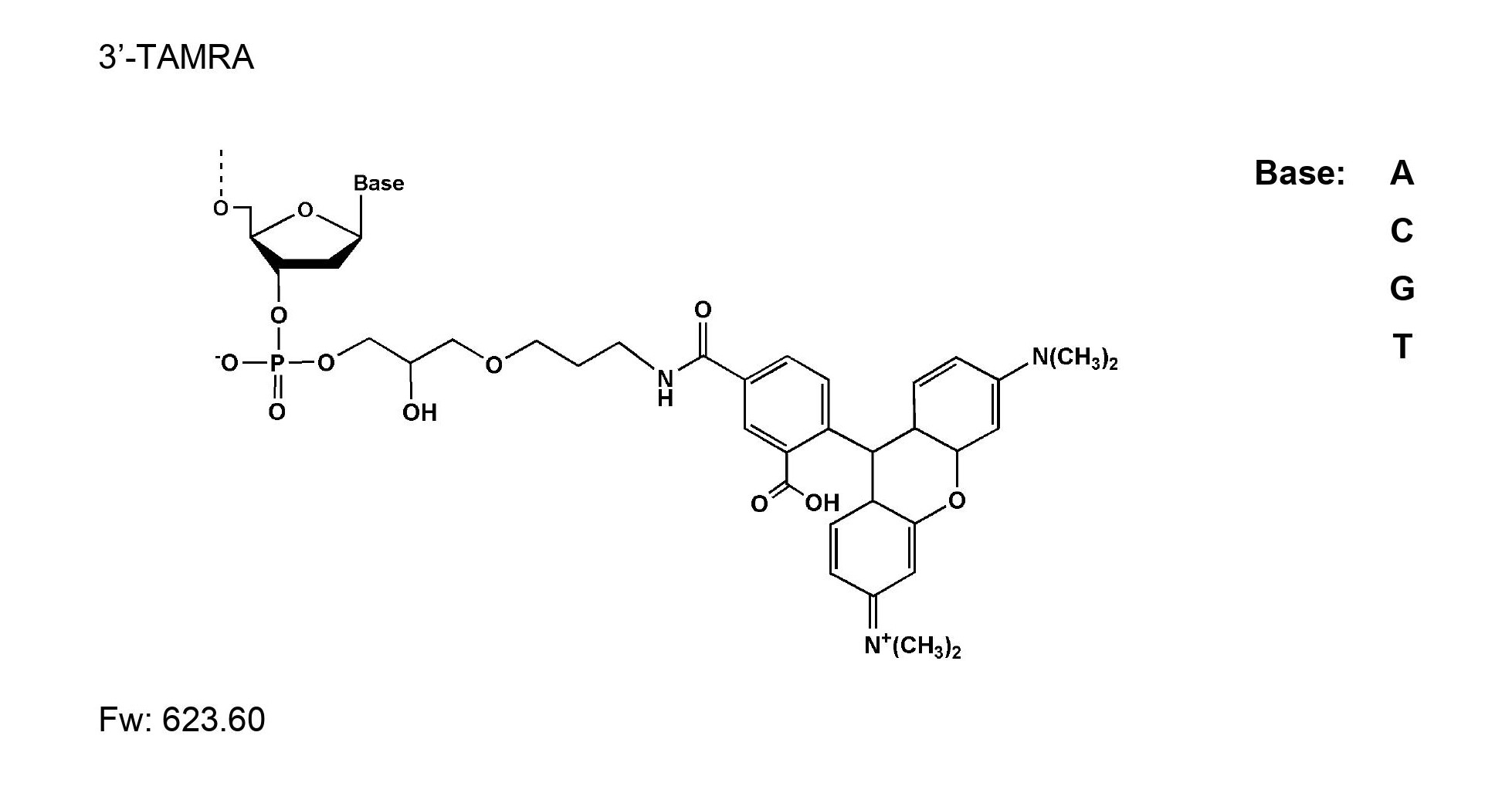
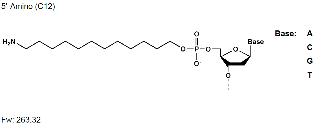
構造式について
構造式の欄の「~.jpg」をクリックしていただければ構造式の画像データが入手できます。
| 修飾名 | 5’末端 | 3’末端 | 蛍光特性 | |||
|---|---|---|---|---|---|---|
| 追加分子量 | 構造式(JPG) | 追加分子量 | 構造式(JPG) | 極大励起波長(nm) | 極大蛍光波長(nm) | |
| Amino(標準品) | 266.16 | 5_Amino_SSH.jpg | 209.18 | 3_Amino_C7.jpg | – | – |
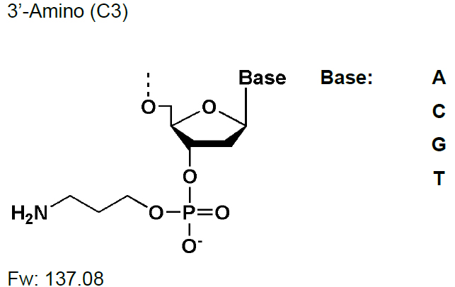
| Amino(C3) | 137.08 | 5_Amino_C3.jpg | 137.08 | 3_Amino_C3.jpg | – | – |
| Amino(C12) | 263.32 | 5_Amino_C12.jpg | – | – | – | – |
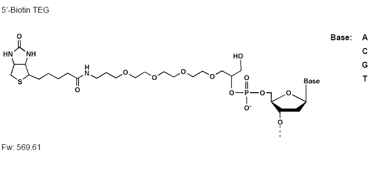
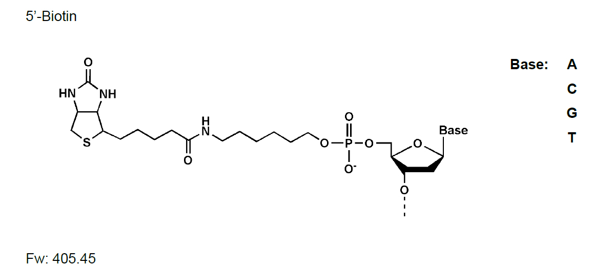
| Biotin | 405.45 | 5_Biotin_C6.jpg | 569.61 | 3_Biotin_TEG.jpg | – | – |
| Phosphate(リン酸化) | 79.98 | 5_Ph.jpg | 79.98 | 3_Ph.jpg | – | – |
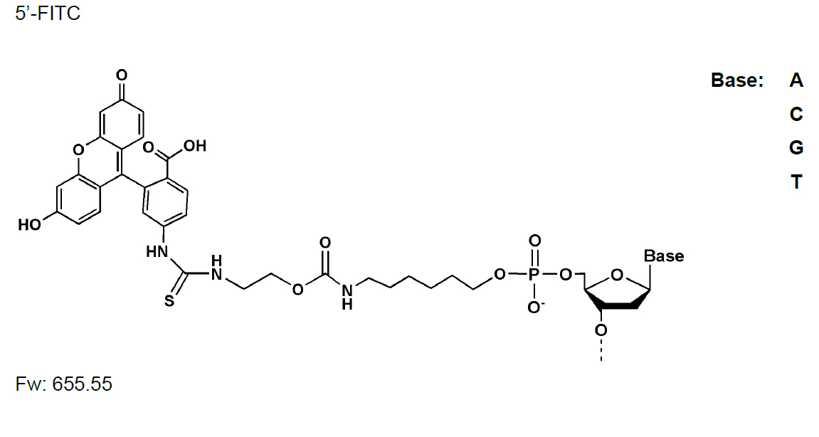
| FITC | 655.55 | 5_FITC.jpg | 598.57 | 3_FITC.jpg | 495 | 521 |
| FAM | 537.46 | 5_FAM.jpg | 569.46 | 3_FAM.jpg | 495 | 521 |
| TET | 675.24 | 5_TET.jpg | – | – | 519 | 539 |
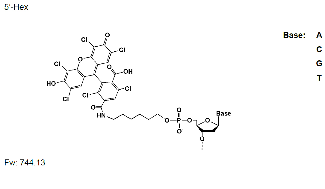
| HEX | 744.13 | 5_HEX.jpg | – | – | 537 | 556 |
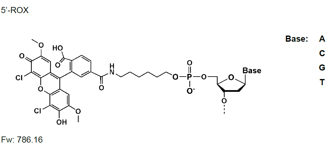
| ROX | 786.16 | 5_Rox.jpg | 699.18 | – | 587 | 599 |
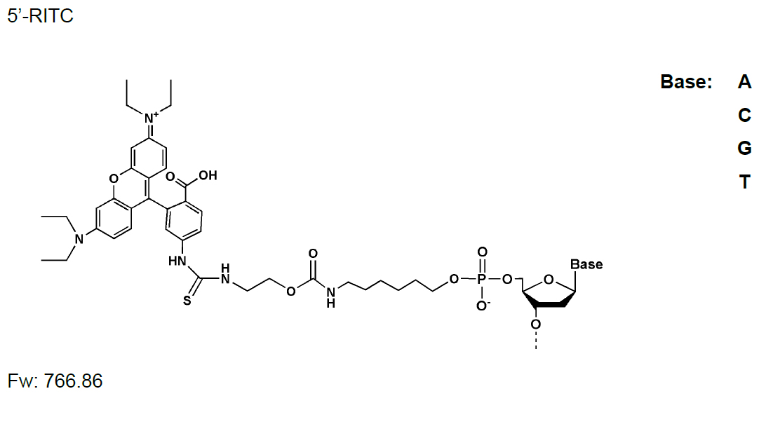
| RITC | 754.26 | 5_RITC.jpg | 697.28 | 3_RITC.jpg | – | – |
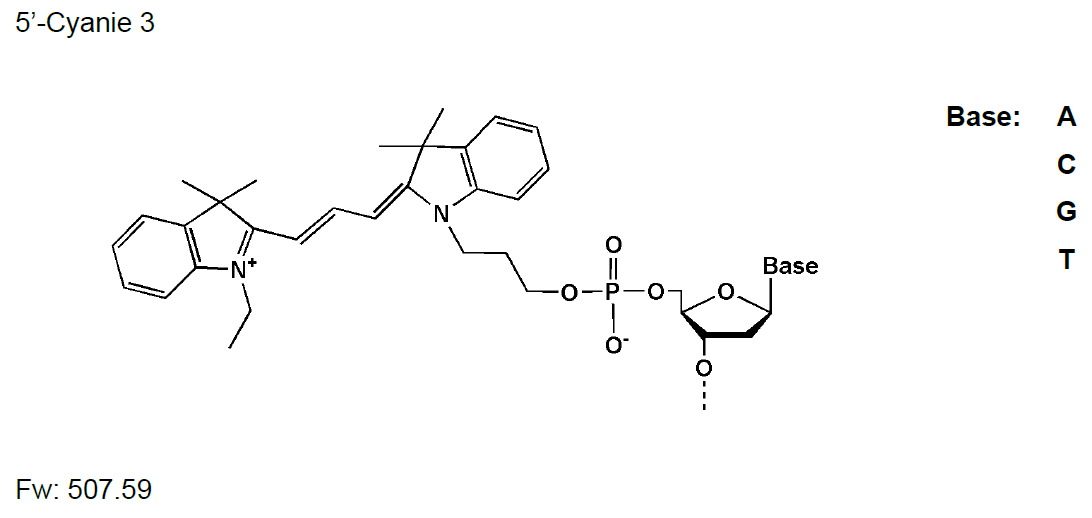
| Cyanine3 | 507.59 | 5_Cy3.jpg | – | – | 547 | 563 |
| Cyanine3.5 | 607.70 | 5_Cy3.5.jpg | – | – | 591 | 604 |
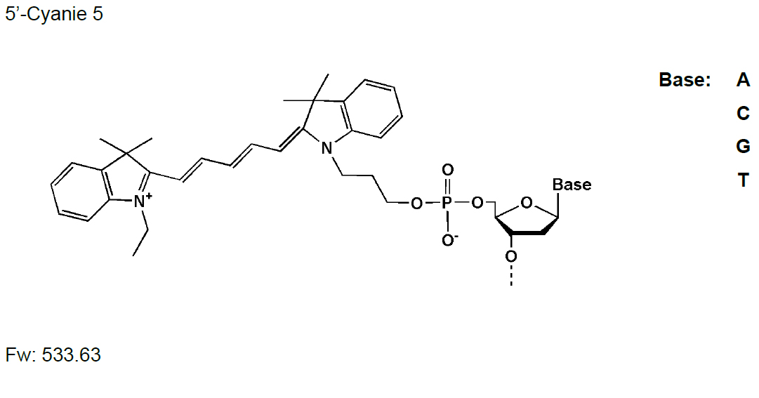
| Cyanine5 | 533.63 | 5_Cy5.jpg | – | – | 646 | 662 |
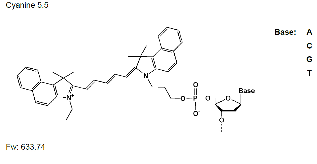
| Cyanine5.5 | 633.74 | 5_Cy5.5.jpg | – | – | 688 | 707 |
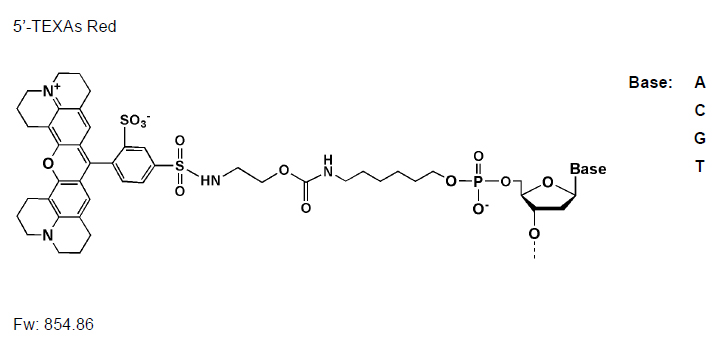
| TEXs-RED | 853.86 | 5_TexasRed.jpg | 796.88 | 3_TexasRed.jpg | 596 | 615 |
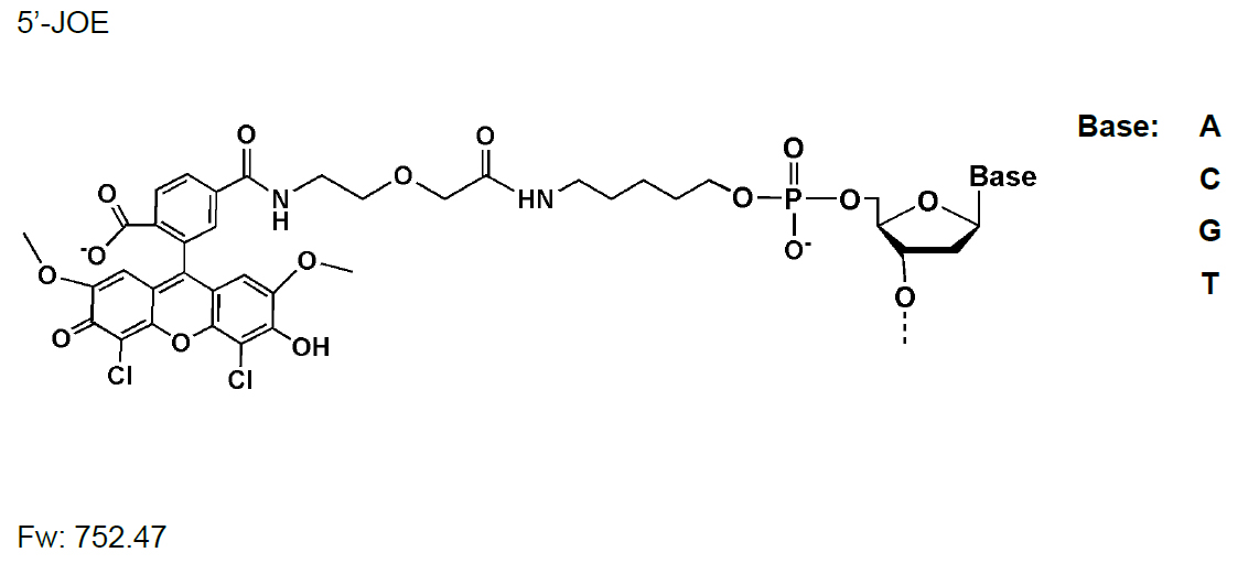
| JOE | 757.5 | 5_JOE.jpg | 700.52 | 3_JOE.jpg | 520 | 548 |
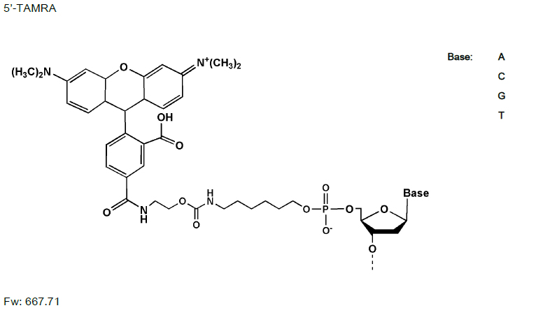
| TAMRA | 679.61 | 5_TAMRA.jpg | 623.60 | 3_TAMRA.jpg | 556 | 580 |
| BHQ-1 | – | – | 554.49 | 3_BHQ-1.jpg | 534 | – |
| BHQ-2 | – | – | 556.47 | 3_BHQ-2.jpg | 579 | – |
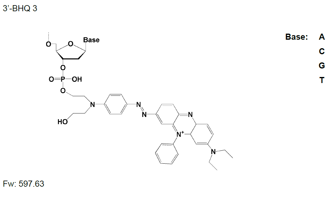
| BHQ-3 | – | – | 597.63 | 3_BHQ-3.jpg | 672 | – |
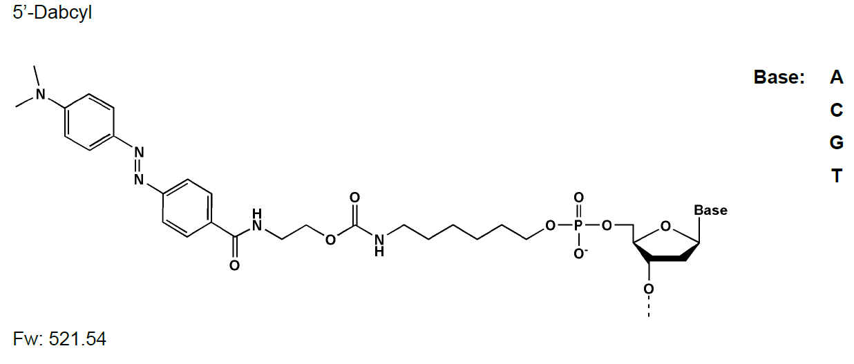
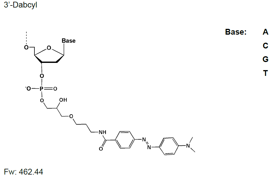
| Dabcyl | 521.54 | 5_Dabcyl.jpg | 462.44 | 3_Dabcyl.jpg | – | – |
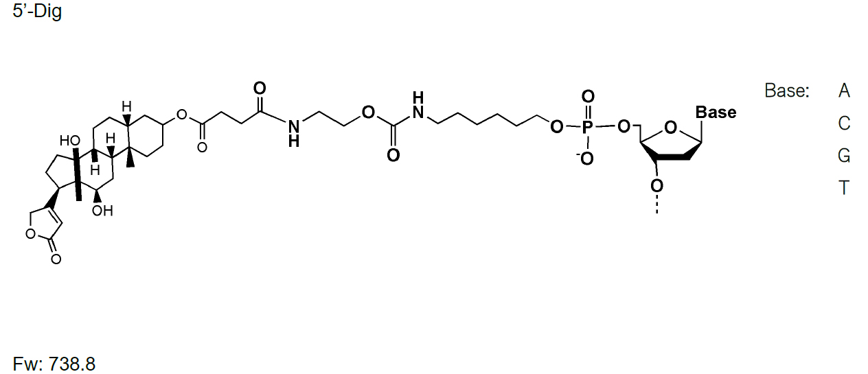
| DIG(Digoxigenin) | 741.8 | 5_DIG.jpg | 684.9 | 3_DIG.jpg | – | – |
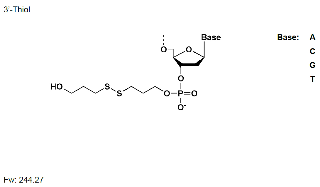
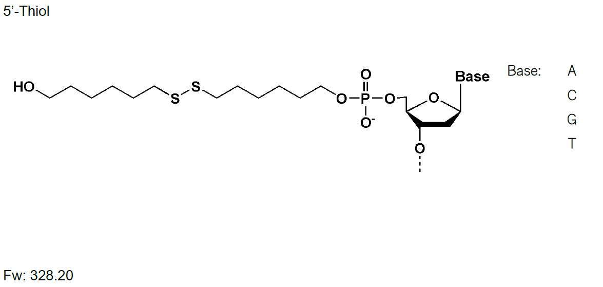
| SH(Thiol) | 328.20 | 5_Thiol_C6.jpg | 244.27 | 3_Thiol_C3.jpg | – | – |
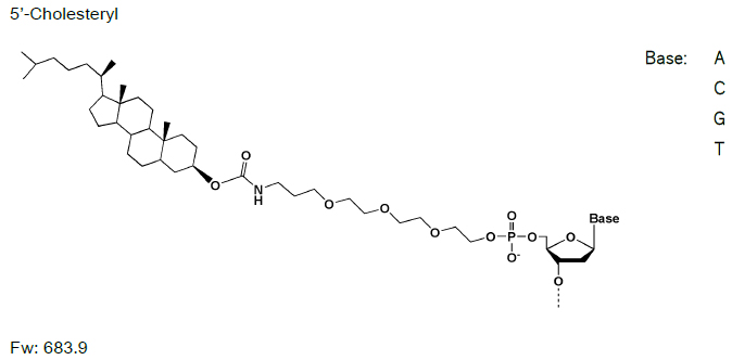
| Cholesteryl | 682.89 | 5_Cholesteryl_TEG.jpg | 755.97 | 3_Cholesteryl_TEG.jpg | – | – |
| Stearyl | 332.46 | 5_Stearyl.jpg | – | – | – | – |
| BIOTIN-TEG | 569.61 | 5_Biotin_TEG.jpg | – | – | – | – |
| inverted dA | – | – | 313.21 | inverted_dA.jpg | – | – |
| inverted dC | – | – | 289.18 | inverted_dC.jpg | – | – |
| inverted dG | – | – | 329.21 | inverted_dG.jpg | – | – |
| inverted dT | – | – | 304.2 | inverted_dT.jpg | – | – |
| ddC | – | – | 273.19 | ddC.jpg | – | – |
| Puromycin | – | – | 533.48 | Puromycin.jpg | – | – |
| Azide | 379.28 | 5_Azide.jpg | 322.3 | 3_Azide.jpg | – | – |
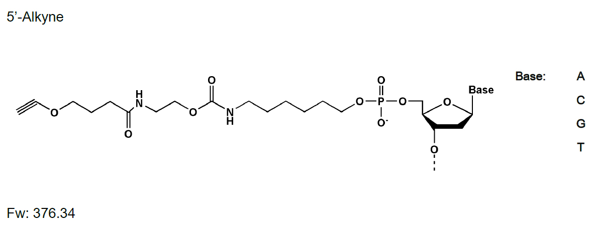
| Alkyne | 376.27 | 5_Alkyne.jpg | 319.29 | 3_Alkyne.jpg | – | – |
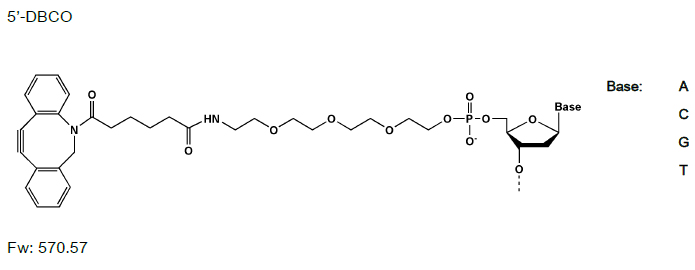
| DBCO | 570.57 | 5_DBCO.jpg | 525.55 | 3_DBCO.jpg | – | – |
| 修飾名 | 追加分子量/構造式 | 蛍光特性 | ||
|---|---|---|---|---|
| 追加分子量 | 構造式(JPG) | 極大励起波長(nm) | 極大蛍光波長(nm) | |
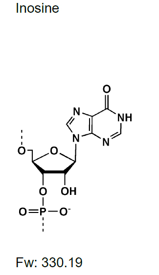
| dI(Inosine) | 314.19 | dI.jpg | – | – |
| dU(deoxy Uridine) | 290.17 | dU.jpg | – | – |
| S化(Phosphorthioate) | 16 | Phosphorthioate.jpg | – | – |
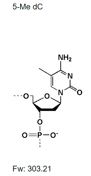
| 5-Methyl-dC | 303.21 | 5_Methyl_dC.jpg | – | – |
| Inosone(Ribo) | 330.19 | I_RNA.jpg | – | – |
| Spacer C3 | 138.06 | Spacer_C3.jpg | – | – |
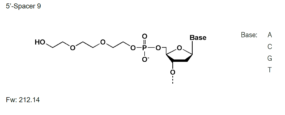
| Spacer 9 | 212.14 | Spacer_9.jpg | – | – |
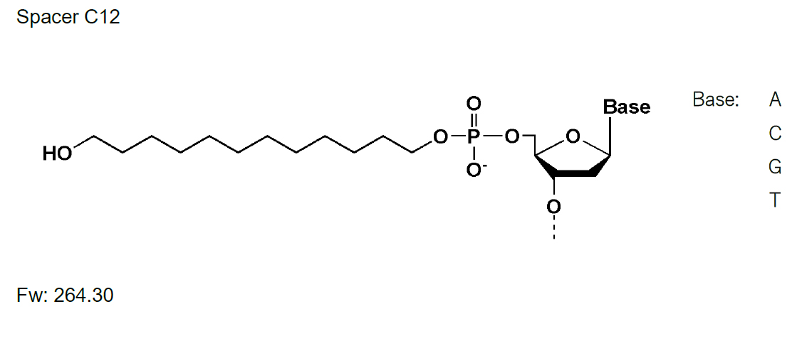
| Spacer C12 | 264.30 | Spacer_C12.jpg | – | – |
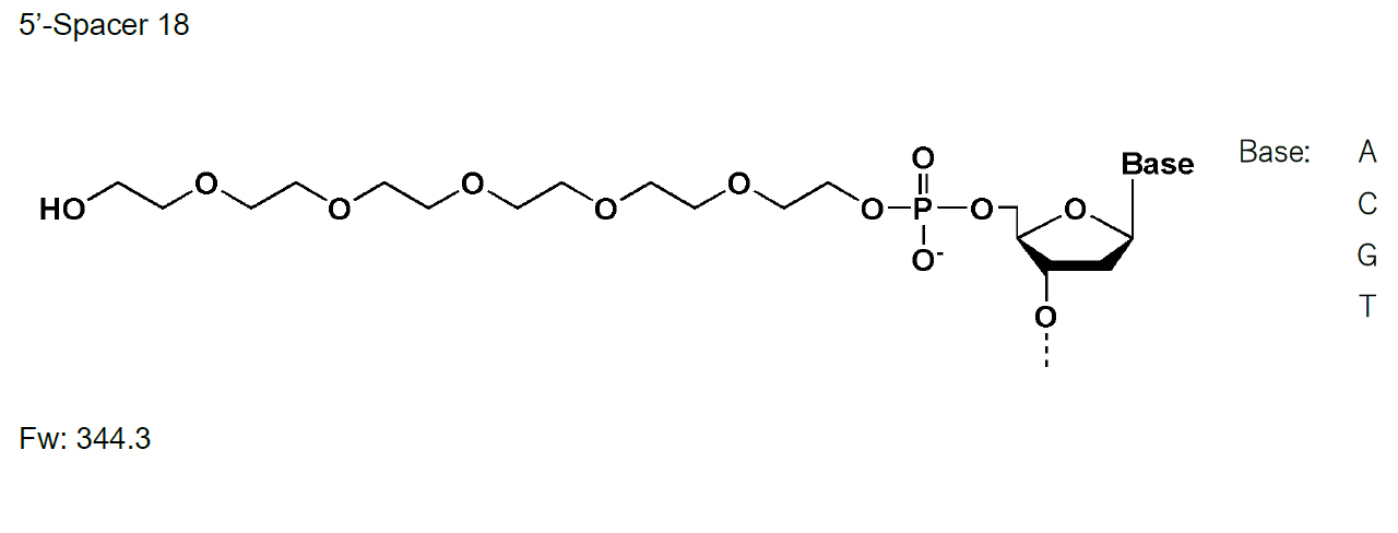
| Spacer 18 | 344.30 | Spacer_18.jpg | – | – |
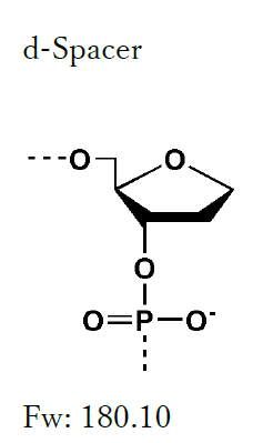
| dSpacer | 180.10 | dSpacer.jpg | – | – |
| Amino-ModifierC2 dT | 402.30 | AminoModifier_C2_dT.jpg | – | – |
| Amino-ModifierC6 dT | 458.41 | AminoModifier_C6_dT.jpg | – | – |
| Amino-ModifierC6 dC | 457.42 | AminoModifier_C6_dC.jpg | – | – |
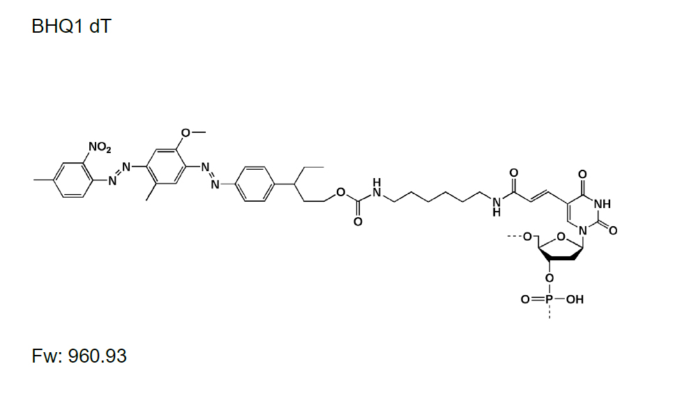
| BHQ-1-dT | 960.93 | BHQ1_dT.jpg | 534 | – |
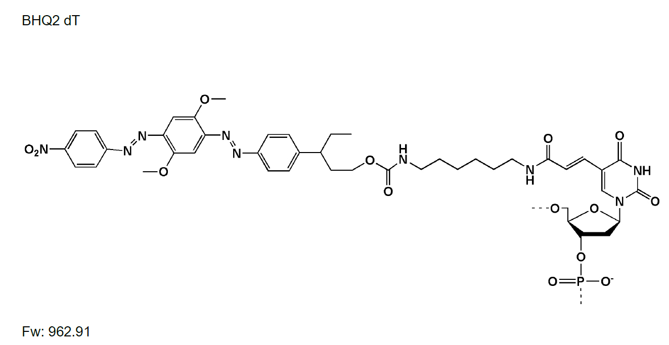
| BHQ-2-dT | 962.91 | BHQ2_dT.jpg | 579 | – |
| 5-Hydroxymethyl-dC | 319.21 | 5_Hydroxymethyl_dC.jpg | – | – |
| 5-Hydroxymethyl-dU | 320.19 | 5_Hydoroxymethyl_dU.jpg | – | – |
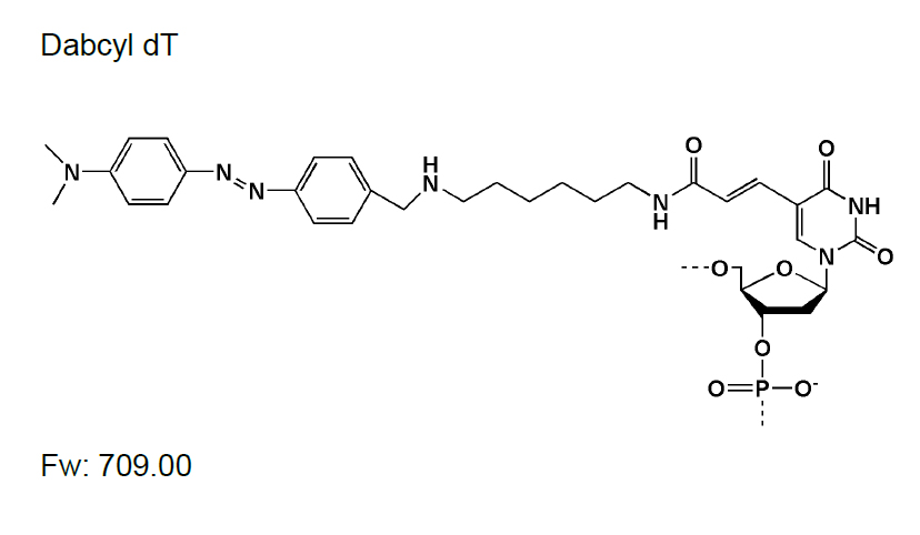
| Dabcyl-dT | 709.00 | Dabcyl_dT.jpg | 476 | – |
| Fluorescein-dT | 815.71 | Fluorescein_dT.jpg | 494 | 522 |
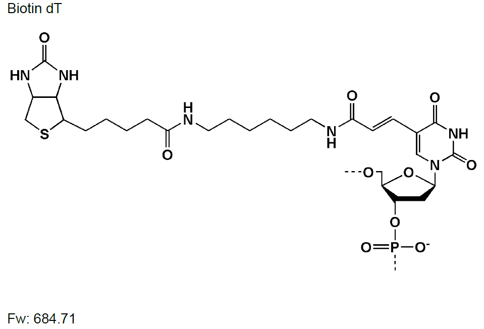
| Biotin-dT | 684.7 | Biotin_dT.jpg | – | – |
| Carboxy dT | 360.22 | Carboxy_dT.jpg | – | – |
| dP | 330.23 | dP.jpg | – | – |
| dK | 358.25 | dK.jpg | – | – |
修飾品の価格やご注文方法については以下のリンクよりご参照ください。
架橋型の人工核酸(LNA)、2’F(フルオロ)化 RNA、2’MOE (2’-O-methoxyethyl) RNA、2’-OMe RNAなど幅広い核酸合成にも対応しております。
ラインナップにつきましては以下のリンクをご確認ください。
