DNA/RNA受託合成 サービス概要 ~汎用アプリケーション核酸誘導体~
架橋型の人工核酸(LNA)、2’F(フルオロ)化 RNA、2’MOE (2’-O-methoxyethyl) RNA、2’-OMe RNAなど幅広い核酸合成に対応しております。アンチセンス研究用途、デュアルラベルプローブへの部分導入などにご利用いただけます。
DNA,RNAへの挿入、各種修飾品との組み合わせも可能でございますのでご相談ください。
LNA
LNAの糖骨格はRNAのリボース2’-位と4’-位がメチレンで架橋された構造になっている核酸誘導体です。RNA型の糖パッカリングが固定化されたN-typeコンフォメーションとなります。このため、LNAを適宜導入すると同じ塩基組成において二本鎖の構造が更に安定化されて、Tm値はLNAが導入されていないものに比較して上昇します。また、2‘-位の水酸基は4’-位に架橋されており、遊離ではありませんので末端やインターナルに導入するとリボヌクレアーゼ耐性の機能を持つようになります。用途としてはアンチセンス研究用途のオリゴや、デュアルラベルプローブへの部分導入などが事例としてあげられます。


※弊社ではLcNAとしてラインナップしております。
1) Egli M, Minasov G, Teplova M, Kumar R, & Wengel J (2001). Chem Commun, 7, 651-652.
2) Braasch D, Jensen S, Liu Y, Kaur K, Arar K, White M & Corey D (2003).. Biochemistry, 42, 7967-7975.
3) Christensen U, Jacobsen N, Rajwanshi V, Wengel J, & Koch T (2001). Biochem J, 354, 481-484.
4) Ugozzoli L, Latorra D, Pucket R, Arar K, & Hamby K (2004). R, Anal Biochem, 324, 143-152. Erratum: Anal Biochem, 328, 244.
2’-Fluoro
2’-位にフッ素原子が導入されることにより、N-type conformationが強調されて二本鎖の構造が強固になる傾向があり、通常RNAや2’-O-Methyl RNAよりもTm値は高くなる傾向があります(1塩基で約2℃上昇)。通常RNAに対し、比較的エキソヌクレアーゼ耐性はありますが用途によって5’-及び3’-端にS-Oligoを導入する実施例があります。


1) J.K. Watts, and M.J. Damha, Can. J. Chem., 2008, 86, 641-656.
2) A Kalota , L Karabon, C R Swider, E Viazovkina, M Elzagheid, M J Damha, A M Gewirtz, Nucleic Acids Res., 2006, 34, 451.
3) Thomas Dowler, Denis Bergeron, Anna-Lisa Tedeschi, Luc Paquet, Nicolay Ferrari, Masad J Damha, Nucleic Acids Res., 2006, 34, 1669-1675.
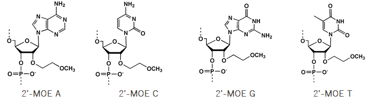
2’-MOE
標的転写物への結合親和性があり、アンチセンスオリゴとして使用されています。ヌクレアーゼ耐性は通常RNAよりもありますが、用途によって5’-及び3’-端にS-Oligoを導入する実施例があります。

1) A. Khvorova, and J.K. Watts, Nat Biotechnol, 2017, 35, 238-248.
2) X. Shen, and D.R. Corey, Nucleic Acids Res, 2018, 46, 1584-1600.
3) C.A. Stein, and D. Castanotto, Mol Ther, 2017, 25, 1069-1075.
4) V. Mathew, and A.K. Wang, Drug Des Devel Ther, 2019, 13, 1515-1525.
2’-OMe
2′-OMe修飾は、安定性と標的転写物への結合親和性を高める手段として、アンチセンスオリゴヌクレオチドで一般的に使用されています。一本鎖リボヌクレアーゼ耐性に関しては安定しており、通常DNAよりもDNaseの影響を受けにくくなっています。アンチセンスに用いる場合には5’-及び3’-端にS-Oligoを導入する使用例もあります。

1) H. Inoue, Y. Hayase, A. Imura, S. Iwai, K. Miura, E. Ohtsuka, Nucleic Acids Res. 1987, 15, 6131.
2) B. S. Sproat, A. I. Lamond, B. Beijer, P. Neuner, U. Ryder, Nucleic Acids Res. 1989, 17, 3373.
3) F. Czauderna, M. Fechtner, S. Dames, H. Aygün, A. Klippel, G. J. Pronk, K. Giese, J. Kaufmann, Nucleic Acids Res. 2003, 31, 2705.
ヌクレアーゼ耐性付加修飾
S-Oligo(Phosphorothiate)
S-Oligo (phosphorothioate)はエンドヌクレアーゼ、エキソヌクレアーゼへの耐性を持ち、アンチセンスオリゴ第一世代やアンチセンスオリゴ第二世代の一部にリン酸化修飾として用いられております。配列中の導入箇所によりDNA/RNAのヌクレアーゼに対する耐性の目的別レイアウトをデザインする事ができます。
精製グレードとしては、OPC(簡易精製カラム)以上の精製となり、HPLC 精製をお奨めします。
エキソヌクレアーゼ:5‘-末端及び3’-末端に部分的に導入を行う。
エンドヌクレアーゼ:すべてのリン酸をS化する。
※S-Oligo (Phosphorothioate)は光学異性体を持ちます。
Chan JH, Lim S, & Wong WS (2006). Antisense oligonucleotides: from design to therapeutic applications. Clin Exp Pharmacol Physiol, 33, 533-40.
Inverted dT
3′-3 ‘結合をもたらすInverted dTはオリゴヌクレオチドの3’-末端に組み込み、3’-エキソヌクレアーゼによる分解とDNAポリメラーゼによる伸長を阻害します。※dA,dC,dGのラインナップもございます

問合せ先
株式会社ファスマック
バイオ研究支援事業部 DNA/RNA受託合成サービス
TEL:046-281-9901 (平日 9:00 ~ 19:00)
問い合わせ先:
休業日:土・日・祝日・年末年始など
見積り依頼につきまして
見積り依頼につきましては、以下見積り用フォーマットに配列などの必要事項をご入力いただき、
までご送付ください。
内容を精査し、見積書を作成してご連絡いたします。
